בקשת הגירושים של אנג'לינה ג'ולי מבראד פיט הפתיעה את העולם? התשובה היא ברור שכן, כולל כמה מחבריהם הטובים ביותר. מאז הפרסום כי הזוג הנוצץ הפריד כוחות, כלי התקשורת בהוליווד ובעולם לא מפסיקים להתעסק בצמד המהפנט, שבילה את 12 השנים האחרונות יחד - כמשפחה מושלמת שכוללת זוג הורים ועוד שישה ילדים, מדוקס, פאקס וזהארה המאומצים, וילדיהם הביולוגיים שיילו, ויויאן ונוקס.

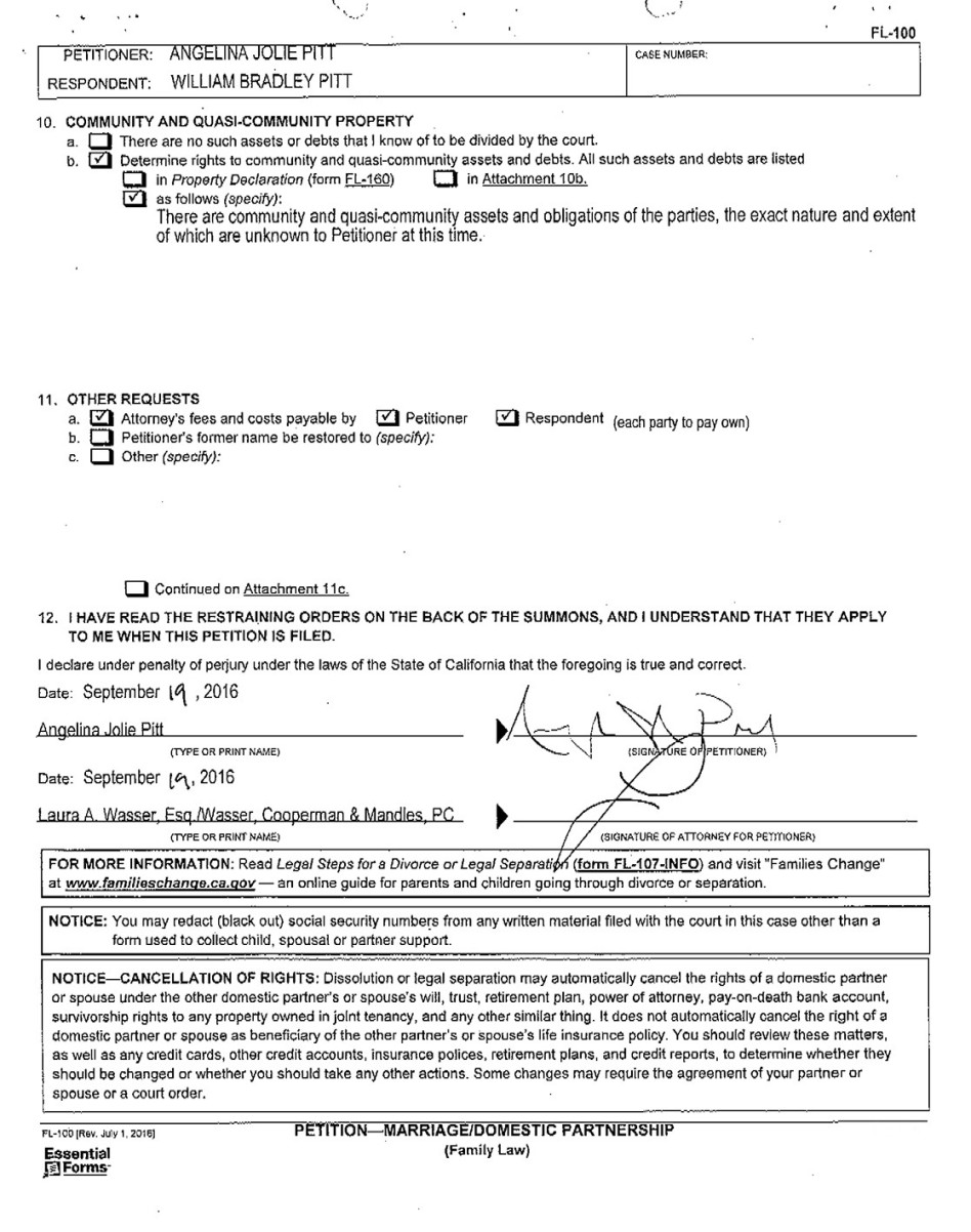
שני חצאי הפאוור קאפל המתפרק, שעל פי עדויות חדשות ידעו כבר חודשים ארוכים שהם עומדים בפני פירוק החבילה, הוציאו אמש (שלישי) כל אחד בנפרד הודעה מנומסת לתקשורת. זאת, רגע אחרי פרסום מסמכי הגירושים הרשמיים שאנג'לינה הגישה לבית המשפט האמריקאי, שמעידים על "חילוקי דעות שלא ניתנים לגישור" ועל כך שהיא דורשת משמורת פיזית בלעדית על הצאצאים, כשלמרבה מזלו של פיט, עדיין תאפשר לבעלה (עוד רגע לשעבר) לתפקד כשמרטף לשישייה, כשיבקר אותם מדי פעם.



רשמי מאוד. מסמכי הגירושים שהגישה אנג'לינה ג'ולי (Splashnews)
רשמי מאוד. מסמכי הגירושים שהגישה אנג'לינה ג'ולי (Splashnews)


בעוד שפיט נערך כבר היום (רביעי) לקרב על הורות משותפת ולטענת מקורביו אין סיכוי שיאפשר לאנג'לינה לקבל משמורת בלעדית על הילדים, לתקשורת הוא הוציא מסר מפויס יותר. "אני מאוד עצוב, אבל מה שחשוב לי עכשיו זה הילדים שלנו. אני מבקש מהתקשורת להעניק להם את המרחב לו הם זקוקים בתקופה המאתגרת הזו", הודיע לעולם דרך הדובר שלו. ג'ולי עצמה, העבירה מסר באמצעות עורך דינה, לפיו "ההחלטה התקבלה לטובת בריאות משפחתה, אנג'לינה מבקשת לאפשר לה פרטיות בתקופה זו".



בלשון עבר. בראד פיט ואנג'לינה ג'ולי (גטי)
בלשון עבר. בראד פיט ואנג'לינה ג'ולי (גטי)


רגע, זה לא הכל, כי גם לחבריהם המפורסמים של בראד ואנג'י - שנישאו בקיץ 2014 ובילו כמשפחה יותר מעשור יחד - היה מה לומר בנוגע לפרידה, בלי שום קשר לשמועות על בגידה שלו מהשחקנית מריאן קוטיאר. הזמרת אדל למשל, הופיעה אמש (שלישי) והקדישה את השואו שלה לזוג המתפרק, כשקראה לגירושים הצפויים "סופו של עידן". "הייתי המומה כששמעתי על זה בבוקר", סיפרה לפני ששרה לכבודם את השיר "Elephant in the room". תירגעי אדל, אף אחד לא מת.



אבל אף אחד לא הכין את חובבי הצמד לתגובה של חברם הקרוב של השניים, ג'ורג' קלוני, ששמע על הגירושים שלהם דרך כתב טלוויזיה שראיין אותו בשידור חי. למרות שהיה נבוך משהו לשאול את השחקן את השאלה המתבקשת - הכתב אזר אומץ לבקש את תגובתו של קלוני, שהופיע במספר סרטים לצדו של פיט. התוצאה? הלם של קלוני, שעדכן מול המצלמות ש"לא ידעתי את זה... אני מרגיש צער, זה סיפור מאוד מצער עבור המשפחה". אכן, שעה קשה.

החבר הטוב תמיד אחרון לדעת. פיט עם ג'ורג' קלוני (גטי)
החבר הטוב תמיד אחרון לדעת. פיט עם ג'ורג' קלוני (גטי)